Skip to content

Leptin Resistance

What Is Leptin Resistance?

  • Home
  • About
  • Contact
  • Privacy Policy
  • Resources
  • Home
  • About
  • Contact
  • Privacy Policy
  • Resources
  • facebook.com
  • twitter.com
  • t.me
  • instagram.com
  • youtube.com
Subscribe
High Leptin Levels
Posted inLeptin Resistance

Leptin Resistance Diet

Posted by By lesbar March 28, 2023
Leptin Resistance Diet Leptin Resistance Diet. Leptin is a hormone that sends signals to the…
Read More
How to Balance Ghrelin and Leptin
Posted inLeptin Resistance

How to Balance Ghrelin and Leptin

Posted by By lesbar February 1, 2023
  How to Balance Ghrelin and Leptin How to Balance Ghrelin and Leptin.The hormones ghrelin…
Read More
What is Cortisol
Posted inLeptin Resistance

What is Cortisol

Posted by By lesbar November 13, 2022
What is Cortisol Hormone What is Cortisol. Cortisol is a stress hormone produced in the…
Read More
What Are Ghrelin and Leptin
Posted inLeptin Resistance

What Are Ghrelin and Leptin

Posted by By lesbar November 12, 2022
  What Are Ghrelin and Leptin?   Ghrelin Increases Appetite What are ghrelin and leptin.…
Read More
Leptin Ghrelin And Cortisol
Posted inLeptin Resistance

Leptin Ghrelin And Cortisol

Posted by By lesbar November 12, 2022
Leptin Ghrelin And Cortisol The Effects of Macronutrient Composition and Interventions on Leptin Ghrelin and…
Read More
Leptin Foods to Avoid
Posted inLeptin Resistance

Leptin Foods to Avoid

Posted by By lesbar November 11, 2022
Leptin Foods to Avoid Leptin Foods to Avoid. If you're on a diet, it's important to…
Read More
Leptin Blood Test Normal Range
Posted inLeptin Resistance

Leptin Blood Test Normal Range

Posted by By lesbar November 10, 2022
Leptin Blood Test Normal Range Leptin Blood Test Normal Range. Leptin is a hormone that…
Read More
Leptin And Ghrelin Sleep
Posted inLeptin Resistance

Leptin And Ghrelin Sleep

Posted by By lesbar November 9, 2022
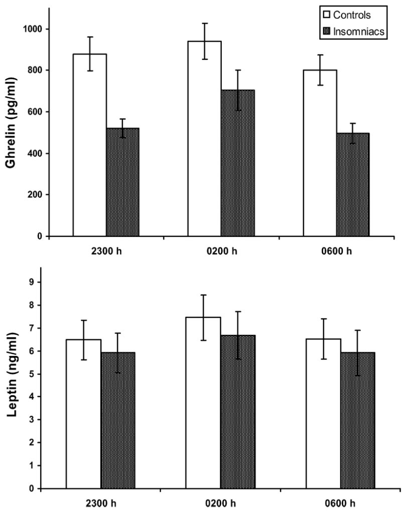
Leptin And Ghrelin Sleep Loss Leptin And Ghrelin Sleep. Leptin and ghrelin are two hormones…
Read More
Leptin and Adiponectin
Posted inLeptin Resistance

Leptin and Adiponectin

Posted by By lesbar November 9, 2022
The Role of Leptin and Adiponectin Regulation of food intake Leptin and Adiponectin. The role…
Read More
When Leptin Levels Drop
Posted inLeptin Resistance

When Leptin Levels Drop

Posted by By lesbar November 8, 2022
When Leptin Levels Drop, Your Body Releases Ghrelin When leptin levels drop, your body releases…
Read More

Posts pagination

Previous page 1 … 5 6 7 8 9 … 12 Next page
Weight Loss
Leptin Resistance Articles
Tags
Can Leptin Resistance Be Reversed Can You Be Skinny And Have Leptin Resistance Can You Cure Leptin Resistance Does Fasting Help Leptin Resistance Does Insulin Affect Leptin How Can I Increase Leptin Naturally How Does Fasting Affect Leptin How Do You Reduce Leptin Resistance How Long Does It Take To Reverse Leptin Resistance How to Balance Ghrelin and Leptin How To Boost Leptin In The Female Body How To Increase Leptin And Reduce Ghrelin How To Increase Leptin Hormone In Women's Body How To Increase Leptin Levels With Supplements How To Lose Weight With Leptin Resistance How To Reduce Leptin In The Body Increased Brain Levels Of Leptin And Insulin insulin Leptin Leptin And Ghrelin Sleep Leptin And Ghrelin Sleep Loss Leptin And Insulin Resistance Diet Leptin And Insulin Resistance Obesity Leptin And Insulin Resistance Syndrome Leptin Resistance Diet Leptin Resistance Diet Food List Leptin Resistance Diet Induced Obesity Leptin Resistance Diet Pdf Leptin Resistance Diet Plan Leptin Resistance Diet Recipes Leptin Resistance Foods To Avoid Leptin Resistance Foods To Eat Leptin Resistance Hcg Diet Leptin Resistance Treatment Diet obesity resistance What Are Ghrelin And Leptin What Can I Do About Leptin Resistance What Foods Have Leptin In What Happens If Leptin Levels Are High What Hormone Is Leptin What Is Cortisol In Blood Test What Is Leptin Resistance? What Releases Ghrelin And Leptin Why Are My Leptin Levels Low
Archives
  • June 2024
  • May 2024
  • October 2023
  • June 2023
  • April 2023
  • March 2023
  • February 2023
  • November 2022
  • October 2022
  • September 2022
  • June 2022
  • March 2022
  • February 2022
  • January 2022
  • November 2020
  • October 2020
  • September 2020
  • August 2020
  • July 2020
  • June 2020
  • May 2020
  • March 2020
Meta
  • Log in
  • Entries feed
  • Comments feed
  • WordPress.org
Home » Page 7
Post You Might Like
Posted inLeptin Resistance
Do Leptin Supplements Work For Weight Loss
Posted by By lesbar June 13, 2024
Posted inLeptin Resistance
Gut Microbiota-Leptin Resistance Connection
Posted by By lesbar June 13, 2024
Posted inLeptin Resistance
Leptin Resistance Supplements
Posted by By lesbar June 12, 2024
Posted inLeptin Resistance
Leptin Therapy for Diabetes Management
Posted by By lesbar June 11, 2024
Copyright 2026 — Leptin Resistance. All rights reserved. Bloglo WordPress Theme
Scroll to Top